6. Epizoda - Výzva
Výzva o imunitu
Před dnešní výzvou dostali soutěžící tento obrázek

Měli skoro celý den, aby zjistili, že tyto hieroglyfy mají představovat abecedu.

Každopádně toto nebyla výzva, ale pouze pomoc s jednou z částí.
Samotná výzva měla 3 části: matematickou, logickou a otázky.
První a druhou část dělali v kmeni 2 páry a poslední jen 1 osoba z kmene.
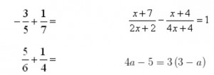
Takto vypadala první část.
V této části měli vypočítat 4 příklady


V druhé části dostali tyto hieroglyfy a měli poskládat jednu větu.


A poslední část byla odpovědět na tyto 4 otázky
1) Hlavní město Egypta? (Kahira)
2) Napiš alespoň 3 egyptské bohy.
3) Nejdelší řeka v Egyptě? (Nil)
4) Jaký je nejvyšší bod Egypta? (Hora svaté Kateřiny)
Tato výzva byla velmi těsná, ale nakonec o pouhých 10 sekund vyhrál kmen Malik

Malik tedy opět vyhrál výzvu a znovu nemusí na kmenovou radu.
Kmen Kahin za to dnes opět někoho vyřadí ze hry.